| "Descrizione" by A_Partyns (13106 pt) | 2026-Jan-07 16:49 |
| Evaluation | N. Experts | Evaluation | N. Experts |
|---|---|---|---|
| 1 | 6 | ||
| 2 | 7 | ||
| 3 | 8 | ||
| 4 | 9 | ||
| 5 | 10 |
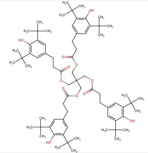
Pentaerythrityl Tetra-Di-T-Butyl Hydroxyhydrocinnamate: cos’è, a cosa serve, usi, sicurezza.
Pentaerythrityl Tetra-Di-T-Butyl Hydroxyhydrocinnamate è un composto chimico piuttosto complesso che include nella sua struttura altri composti chimici come hydroxycinnamic acid, butanol, and pentaerythrityl :
Il processo di sintesi si svolge in diverse fasi:
Pentaerythrityl Tetra-Di-T-Butyl Hydroxyhydrocinnamate si presenta tipicamente come polvere bianca o bianco sporco nella sua forma pura. Tuttavia, quando viene applicato come ingrediente nei cosmetici o nei prodotti per la cura personale, il colore del prodotto finale può variare notevolmente a seconda degli altri ingredienti utilizzati.

A cosa serve e dove si usa
Viene utilizzato principalmente per evitare l'ossidazione di oli, grassi e fragranze in questi prodotti, prolungandone così la durata di conservazione. È noto anche come idrossidrocinnamato butilato.
Cosmetica
Pentaerythrityl Tetra-Di-T-Butyl Hydroxyhydrocinnamate viene usato in prodotti cosmetici per la cura del viso e del corpo in quanto svolge funzione di antiossidante per impedire al prodotto esposto all'aria e quindi all'ossigeno, di degradarsi.
Agente antiossidante. Ingrediente che contrasta lo stress ossidativo e che evita danni cellulari. I radicali liberi, i processi infiammatori patologici, le specie reattive dell'azoto e le specie reattive dell'ossigeno sono responsabili del processo di invecchiamento e di molte malattie causate dall'ossidazione.
Sicurezza
Dato l'elevato peso molecolare di questo ingrediente, la penetrazione cutanea non è ritenuta probabile. I dati di tossicità disponibili, insieme alle basse concentrazioni di utilizzo dell'ingrediente, suggeriscono che la tossicità sistemica non sarebbe probabile se si verificasse un assorbimento percutaneo.
Il gruppo di esperti della Cosmetic Ingredient Review ritiene che questo componente sia sicuro nei cosmetici nelle pratiche d'uso e nelle concentrazioni descritte nella presente valutazione della sicurezza (1).
Questo studio ha esaminato la migrazione di Irganox 1010 come antiossidante dal polietilene ad alta densità e dal polipropilene (2).
Applicazioni Commerciali
Antiossidante. Utilizzato in cosmetici e prodotti per la cura della pelle per prevenire l'ossidazione e proteggere la formula da degradazioni causate dall'esposizione all'ossigeno.
Prodotti per la cura della pelle. Per le sue proprietà antiossidanti, viene aggiunto a lozioni, creme e sieri per prolungarne la durata e mantenere l'integrità del prodotto.
Cosmetici. Presente in prodotti come rossetti, fondotinta e ombretti per impedire l'ossidazione di oli e pigmenti.
Prodotti per capelli. Usato in shampoo, balsami e trattamenti per capelli per prevenire il deterioramento dei prodotti a causa dell'ossidazione.
Applicazioni Mediche
Formulazioni farmaceutiche. Può essere utilizzato come antiossidante in alcune formulazioni farmaceutiche per proteggere i principi attivi dall'ossidazione e prolungarne la stabilità.
Dermatologia. Può essere trovato in creme e unguenti dermatologici, dove le sue proprietà antiossidanti potrebbero proteggere la pelle e aiutare nella guarigione.
![]() | ![]() |
![]() | ![]() |
Molar mass: 222.3 g/mol
Formula: C_13H_18O_3
Melting point: 80.11 °C
Boiling point: 397.1 °C
Critical temperature: 872.6 K
Critical pressure: 2.473 MPa
Critical volume: 683.5 cm^3/mol
Molar heat of vaporization: 69.2 kJ/mol
Molar heat of fusion: 20.98 kJ/mol
Molar enthalpy: -558.7 kJ/mol
Molar free energy: -275.8 kJ/mol
Sinonimi:
Bibliografia____________________________________________________________________
(1) Johnson Jr, W., Bergfeld, W. F., Belsito, D. V., Hill, R. A., Klaassen, C. D., Liebler, D. C., ... & Heldreth, B. (2018). Safety assessment of Pentaerythrityl Tetra-Di-t-Butyl Hydroxyhydrocinnamate as used in cosmetics. International journal of toxicology, 37(3_suppl), 80S-89S.
Abstract. Pentaerythrityl tetra-di-t-butyl hydroxyhydrocinnamate functions as an antioxidant in cosmetic products and is used at concentrations up to 0.8%. Given the high molecular weight of this ingredient, skin penetration is not likely. The available toxicity data, together with the low ingredient use concentrations, suggest that systemic toxicity would not be likely if percutaneous absorption were to occur. Additionally, the negative human repeated insult patch test data at a concentration of 0.5% were deemed sufficient for evaluating the skin irritation and sensitization potential of pentaerythrityl tetra-di-t-butyl hydroxyhydrocinnamate over the range of use concentrations in cosmetic products. The Cosmetic Ingredient Review Expert Panel concluded that pentaerythrityl tetra-di-t-butyl hydroxyhydrocinnamate is safe in cosmetics in the present practices of use and concentration described in this safety assessment.
(2) Lickly TD, Bell CD, Lehr KM. The migration of Irganox 1010 antioxidant from high-density polyethylene and polypropylene into a series of potential fatty-food simulants. Food Addit Contam. 1990 Nov-Dec;7(6):805-14
| Evaluate |