Ciao, Visitatore!
 
 

 
 
  Oggetti Tiiips Categorie
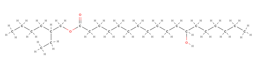
Ethylhexyl hydroxystearate
"Descrizione"
di admin (19545 pt)
22-dic-2024 11:14

Ethylhexyl Hydroxystearate è un emolliente sintetico, estere ottenuto dalla reazione di ethylhexyl alcohol con 12 hydroxystearic acid. È utilizzato nei cosmetici e nei prodotti per la cura personale per le sue proprietà idratanti, ammorbidenti e migliorative della texture. 

Composizione chimica e struttura
Ethylhexyl Hydroxystearate è un estere ottenuto dall’acido idrossistearico e dall’alcol 2-etilesanolo. La sua struttura chimica conferisce al composto proprietà emollienti, migliorando la scorrevolezza e l’applicazione dei prodotti cosmetici. La presenza di gruppi idrossilici contribuisce a trattenere l’umidità e a migliorare la sensazione al tatto.

Proprietà fisiche
Si presenta come un liquido chiaro, incolore e oleoso, con un odore leggero. È solubile in oli e compatibile con una vasta gamma di ingredienti cosmetici, rendendolo ideale per formulazioni idratanti e condizionanti.

Processo di produzione
Ethylhexyl Hydroxystearate è prodotto attraverso un processo di esterificazione tra l’acido idrossistearico e l’alcool etilesilico. Il processo è progettato per garantire un prodotto stabile e puro, ottimale per applicazioni cosmetiche.

Applicazioni

  • Medicina: Utilizzato in prodotti dermatologici per le sue proprietà ammorbidenti e per migliorare la penetrazione dei principi attivi.

  • Cosmetici: Ethylhexyl Hydroxystearate è comunemente utilizzato in creme idratanti, lozioni, oli per il corpo, balsami per labbra e prodotti per capelli. Migliora la texture, dona morbidezza alla pelle e favorisce un'applicazione uniforme.

Funzioni INCI

Agente condizionante della pelle - Emolliente. Gli emollienti hanno la caratteristica di migliorare la barriera cutanea tramite una fonte di lipidi esogeni che aderiscono alla pelle migliorando le proprietà della barriera, riempiendo le lacune dei cluster intercorneocitari per migliorare l'idratazione proteggendo dall'insorgenza di infiammazioni. In pratica hanno la capacità di creare una barriera che previene la perdita di acqua transepidermica. Gli emollienti sono additivi sgrassanti o rinfrescanti che migliorano il contenuto lipidico degli strati superiori della pelle prevenendo lo sgrassamento e l'essiccazione della pelle. Il problema degli emollienti è che molti presentano un forte carattere lipofilo e sono identificati come ingredienti occlusivi; si tratta di materiali oleosi e grassi che permangono sulla superficie cutanea e riducono perdita di acqua transepidermica. In cosmetica, emollienti ed idratanti sono sovente considerati sinonimi anche in presenza di umettanti ed occlusivi.

Considerazioni ambientali e di sicurezza
Ethylhexyl Hydroxystearate è considerato sicuro per l’uso cosmetico. È biodegradabile e ha un impatto ambientale ridotto, in particolare se prodotto da fonti sostenibili. È ben tollerato dalla pelle e non è noto per causare irritazioni o sensibilizzazioni. 


Molecular Formula  C26H52O3

Molecular Weight  412.7 g/mol

CAS     29710-25-6

UNII    B7I80BVV5E

EC Number  249-793-7

DTXSID70865507

Nikkaji   J286.938A

Synonyms:

Octyl hydroxystearate

Bibliografia__________________________________________________________________________

Capra P, Musitelli G, Perugini P. Wetting and adhesion evaluation of cosmetic ingredients and products: correlation of in vitro-in vivo contact angle measurements. Int J Cosmet Sci. 2017 Aug;39(4):393-401. doi: 10.1111/ics.12388. Epub 2017 Mar 28. PMID: 28067963.

Fiume, M. M., Heldreth, B. A., Bergfeld, W. F., Belsito, D. V., Hill, R. A., Klaassen, C. D., ... & Andersen, F. A. (2015). Safety assessment of alkyl esters as used in cosmetics. International journal of toxicology, 34(2_suppl), 5S-69S.

Valuta