BIT
Rating : 5
| Evaluation | N. Experts | Evaluation | N. Experts |
|---|---|---|---|
| 1 | 6 | ||
| 2 | 7 | ||
| 3 | 8 | ||
| 4 | 9 | ||
| 5 | 10 |
Pros:
Antibacterial (1)Cons:
Allergen (1)0 pts from Al222
| Sign up to vote this object, vote his reviews and to contribute to Tiiips.Evaluate | Where is this found? |
| "Descrizione" about BIT by Al222 (24871 pt) | 2026-Jan-07 19:41 |
| Read the full Tiiip | (Send your comment) |
BIT - Benzisothiazolinone: what it is, uses, where it’s found, safety and alternatives
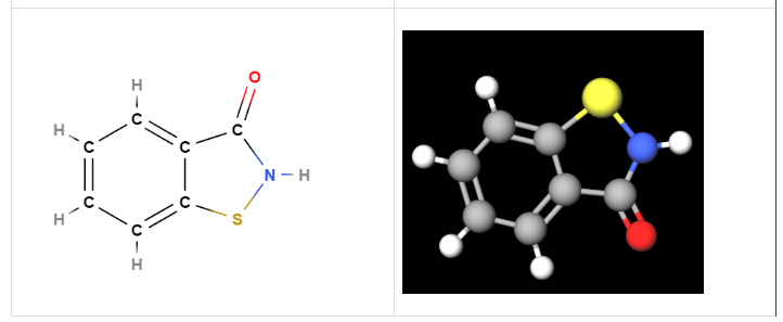
Benzisothiazolinone or Benzisothiazolin-3-one or BIT is a chemical compound and belongs to the family of isotiazolinones, heterocyclic compounds that include sulfur, nitrogen, and oxygen.
Benzisothiazolinone is a synthetic preservative widely used in cosmetic, personal care, and household cleaning products to prevent the growth of bacteria, fungi, and yeast. Due to its antimicrobial properties, it effectively protects formulations from contamination, extending the product's shelf life and ensuring safety. It is primarily used in water-based products, where the risk of microbial contamination is higher.

Chemical Composition and Structure
Benzisothiazolinone has the chemical formula C7H5NOS and belongs to the isothiazolinone family, known for their preservative properties. Its chemical structure includes a benzene ring attached to an isothiazolinone group, which gives it potent antibacterial and antifungal activity.
Physical Properties
Benzisothiazolinone typically appears as a white or yellowish powder but is often used in solution form in cosmetic products. It is water-soluble, making it suitable for use in aqueous formulations. It is effective at low concentrations, so only small amounts are used in products.
Production Process
Benzisothiazolinone is synthesized chemically through industrial processes that combine benzoic derivatives with sulfonating agents. The result is a stable preservative suitable for use in a wide range of formulations, including skin care, hair care, and household cleaning products.
The name 'benzisothiazolone' describes the structure of the molecule:
Description of raw materials used in production:
The synthesised extraction process takes place in three steps:
What it is used for and where
Benzisothiazolinone is a biocide, i.e. it can kill microorganisms. It is often used as a preservative in products such as paints, coatings and personal care products to prevent the growth of bacteria and fungi. It is effective at very low concentrations and is active against a wide range of microorganisms. However, it can cause allergic reactions in some people, so its use is regulated in many countries.
Benzisothiazolinone has antibacterial, fungicide and preservative function in household care and personal care products.
Cosmetics
Antimicrobial agent. This ingredient is able to suppress or inhibit the growth and replication of a broad spectrum of microorganisms such as bacteria, fungi and viruses by making the stratum corneum temporarily bactericidal and fungicidal.
Cosmetic safety
In its study of 26-27 June 2012 Scientific Committee on Consumer Safety determined that "The SCCS considers benzisothiazolinone safe for use as a preservative in cosmetics products up to 0.01% with respect to systemic toxicity. However, its sensitising potential is of concern." and in addition:
"Sensitisation from related isothiazolinones is an important problem in consumers. This has occurred because there has been consumer exposure before safe levels of exposure relevant to sensitisation have been established. Benzisothiazolinone is a skin sensitiser in animal models with potency similar to methylisothiazolinone.Methylisothiazolinone, at 100 ppm (0.01%) in cosmetic products is causing contact allergy and allergic contact dermatitis in the consumer. Benzisothiazolinone is known to be a sensitiser in man and has induced sensitisation at circa 20 ppm in gloves. There is no information on what may be safe levels of exposure to benzisothiazolinone in cosmetic products from the point of view of sensitisation."

Until safe levels of exposure have been established, the use of benzisothiazolinone in cosmetic products as a preservative or for other functions cannot be considered safe in relation to sensitisation.
It is used in cosmetic products such as liquid soaps, shampoos, polyvinyl chloride gloves, sunscreens etc. Typical concentrations in products are 200–400 ppm depending on the application area and the combination with other biocides.
Alternatives
Common “more natural” options: sodium benzoate + potassium sorbate (needs acidic pH, typically ≤5–5.5).
Benzyl alcohol + dehydroacetic acid (a widely used blend in “natural” frameworks; fits many emulsions).
Gluconolactone + sodium benzoate (gentler system, strongest at low pH).
Levulinic acid + anisic acid blends (often paired with boosters) for natural-positioned formulas.
Helpful “natural” boosters: glyceryl caprylate, caprylyl glycol, sodium phytate (chelator), typically used in combination
Studies
(Abstract) Gram-positive bacteria, in general, and staphylococci, in particular, are the widespread cause of nosocomial and community-acquired infections. The rapid evolvement of strains resistant to antibiotics currently in use is a serious challenge. Novel antimicrobial compounds have to be developed to fight these resistant bacteria, and sortase A, a bacterial cell wall enzyme, is a promising target for novel therapies. As a transpeptidase that covalently attaches various virulence factors to the cell surface, this enzyme plays a crucial role in the ability of bacteria to invade the host's tissues and to escape the immune response. In this study we have screened a small molecule library against recombinant Staphylococcus aureus sortase A using an in vitro FRET-based assay. The selected hits were validated by NMR methods in order to exclude false positives and to analyze the reversibility of inhibition. Further structural and functional analysis of the best hit allowed the identification of a novel class of benzisothiazolinone-based compounds as potent and promising sortase inhibitors (1).
Generic allergies: Occasionally some episode of allergy to this compound has been reported (2).
In the light of the exceptionally high rates of contact allergy to the preservative methylisothiazolinone (MI), information about cross-reactivity between MI, octylisothiazolinone (OIT) and benzisothiazolinone (BIT) this study report that the data indicate cross-reactivity between MI, OIT and BIT, when the potency of the chemical was taken into account in choice of challenge concentration. This means that MI-sensitized individuals may react to OIT and BIT if exposed to sufficient concentrations (3).
Allergy to plastic gloves (PVC)
Benzisothiazolinone is used as a slimy in the manufacture of disposable powder-free polyvinyl chloride (PVC) gloves.
Contact allergy to plastic gloves is rare. Benzisothiazolinone is a biocide that is mainly used in industrial settings. It is suspected delayed-type contact allergy to benzisothiazolinone from polyvinyl chloride (PVC) gloves in 2004. We looked through our medical records from 1991 to 2005 to find similar cases. To our knowledge, there have been no previous reports of contact allergy to antimicrobial agents in plastic gloves. Benzisothiazolinone is widely used as a biocide in the manufacture of disposable PVC gloves. Small amounts of benzisothiazolinone in the gloves may sensitize those who already have hand dermatitis (4).
Dermatitis
Occupational allergic contact dermatitis caused by benzisothiazolinone in printing ink and soap have been found (5).
The level of safety
A screening level exposure estimate was performed for several product use scenarios with sunscreen, laundry detergent, dish soap, and spray cleaner. We calculated that Benzisothiazolinone (BIT) concentrations below the following concentrations of 0.0075%, 0.035%, 0.035%, 0.021% in sunscreen, laundry detergent, dish soap, and spray cleaner, respectively, are unlikely to induce skin sensitization. We completed a pilot study consisting of bulk sample analysis of one representative product from each category labelled as containing BIT, and found BIT concentrations of 0.0009% and 0.0027% for sunscreen and dish soap, respectively. BIT was not detected in the laundry detergent and spray cleaner products above the limit of detection of 0.0006%. Based on publically available data for product formulations and our results, we were able to establish that cleaning products and sunscreens likely contain BIT at concentrations similar to or less than our calculated maximal safe concentrations and that exposures are unlikely to induce skin sensitization in most users (6).
Consumers regularly use household care and personal care products (HC&PCPs). Isothiazolinones are included in HC&PCPs as preservatives and are being held responsible for an epidemic rise in allergic contact dermatitis (ACD). The objective of this study was to assess the origin and extent of dermal exposure in order to evaluate the risk of ACD from isothiazolinones in HC&PCP. Individual-based aggregate dermal exposure to four isothiazolinones was estimated using the newly proposed Probabilistic Aggregated Consumer Exposure Model-Kinetic, Dermal (PACEM-KD) by combining the reported individual use patterns for HC&PCP in Switzerland (N = 669 (558 adults), ages 0-91) with isothiazolinone concentrations measured in products used by the individual person. PACEM-KD extends the original PACEM by considering exposure duration, product dilution and skin permeability. PACEM-KD-based higher-tier exposure on palms (99th percentile) was 15.4 ng/cm2, 1.3 ng/cm2, 0.9 ng/cm2, and 0.08 ng/cm2 for the isothiazolinones 1,2‑Benzisothiazol‑3‑(2H)‑one (BIT), 2‑Octyl‑3(2H)‑isothiazolinone (OIT), 2‑Methylisothiazolin‑3(2H)‑one (MI), and 5‑Chloro‑2‑methyl‑4‑isothiazolin‑3‑one (CMI), respectively. Major sources of exposure to BIT included all-purpose cleaners, dishwashing detergent, and kitchen cleaner, while exposure to OIT mainly stems from a fungicide. For MI, the main contributors were dishwashing detergent and all-purpose wet wipes, and for CMI all-purpose cleaner. A Quantitative Risk Assessment (QRA) for BIT using Sensitization Assessment Factors (SAFs) indicates that around 1% of the Swiss population is at risk to be sensitized by BIT in cosmetics and household chemicals. For isothiazolinones in general the presented higher-tier modelling approach suggests that household cleaners are currently more important sources of exposure than cosmetics (7).
Other studies
The regulation of 2-arachidonoylglycerol (2-AG) levels is a major issue as 2-AG has been proven to participate in numerous physiopathological phenomena such as neuroprotection or analgesia. Octhilinone, a cysteine-reagent compound, has recently been shown to inhibit in the nanomolar range monoacylglycerol lipase (MAGL), the major enzyme responsible for the degradation of 2-AG. Here, we further investigate the mechanism by which octhilinone and its benzisothiazolinone analog inhibit human MAGL. We also provide new information on the structural requirements for MAGL inhibition by these compounds. Finally, we describe for N-octylbenzisothiazolinone a mode of inhibition which is partially different from that described for octhilinone, especially with regard to the targeted cysteine residues in the vicinity of the catalytic site. (8).
Various mono- and bis-benzisothiazolone derivatives were synthesized and screened against different strains of bacteria and fungi in order to understand the effect of multiple electrophilic sulfur atoms and substitution pattern in the immediate vicinity of reactive sulfur. Preliminary studies also showed that this class of compounds have the ability to target malaria parasite with IC50 values in low micromolar range, and improvement of selectivity is possible through structure optimization (9).
Commercial applications
Preservative in Cleaning Products. Benzisothiazolinone is used in detergents, soaps, and other cleaning products to prevent the growth of microorganisms.
Preservative in Cosmetics and Skin Care Products. Used in some creams, lotions, and other skin products to extend shelf life and prevent contamination.
Preservative in Paints and Resins. Added to paints, adhesives, and resins to prevent the growth of mold and bacteria.
Preservative in Industrial Products. Used in a variety of industrial products like metalworking fluids and leather processing products.
Biocide. Benzisothiazolinone can act as an effective biocide against a variety of harmful organisms.
The most relevant studies on this chemical compound have been selected with a summary of their contents:

WHERE TO BUY (Prices are approximate and may change at any time)
Typical optimal characteristics of Benzisothiazolinone as commercial product
| Appearance | White to light yellow powder |
| Assay HPLC | ≥99.0% |
| Melting point | 154-158 °C(lit.) |
| Boiling point | 360°C |
| Density | 1.2170 |
| Flash point | 165℃ |
| Refractive index | 1.5500 |
| Solubility | Soluble in dichloromethane, dimethyl sulfoxide, methanol. |
| Chloride | 0.4%max |
| Water | ≤15 |
| Color of Alkali Solution Y | 2 |
| Storage temperature | -20°C Freezer |
Synonyms:
References___________________________________________________________________
(1) Discovery and structure-activity relationship studies of irreversible benzisothiazolinone-based inhibitors against Staphylococcus aureus sortase A transpeptidase. Zhulenkovs D, Rudevica Z, Jaudzems K, Turks M, Leonchiks A. Bioorg Med Chem. 2014 Nov 1;22(21):5988-6003. doi: 10.1016/j.bmc.2014.09.011.
(2) Occupational allergic contact dermatitis caused by benzisothiazolinone in printing ink and soap. Meysman T, Goossens A.
Contact Dermatitis. 2017 Jan;76(1):51-53. doi: 10.1111/cod.12642
(3) Cross-reactivity between methylisothiazolinone, octylisothiazolinone and benzisothiazolinone using a modified local lymph node assay. Schwensen JF, Menné Bonefeld C, Zachariae C, Agerbeck C, Petersen TH, Geisler C, Bollmann UE, Bester K, Johansen JD.
Br J Dermatol. 2017 Jan;176(1):176-183. doi: 10.1111/bjd.14825.
(4) Antimicrobial allergy from polyvinyl chloride gloves. Aalto-Korte K, Alanko K, Henriks-Eckerman ML, Jolanki R. Arch Dermatol. 2006 Oct;142(10):1326-30.
1,2-benzisothiazolin-3-one in disposable polyvinyl chloride gloves for medical use. Aalto-Korte K, Ackermann L, Henriks-Eckerman ML, Välimaa J, Reinikka-Railo H, Leppänen E, Jolanki R. Contact Dermatitis. 2007 Dec;57(6):365-70.
(5) Occupational allergic contact dermatitis caused by benzisothiazolinone in printing ink and soap. Meysman T, Goossens A. Contact Dermatitis. 2017 Jan;76(1):51-53. doi: 10.1111/cod.12642
(7) Aggregate consumer exposure to isothiazolinones via household care and personal care products: Probabilistic modelling and benzisothiazolinone risk assessment. Garcia-Hidalgo E, Schneider D, von Goetz N, Delmaar C, Siegrist M, Hungerbühler K. Environ Int. 2018 Sep;118:245-256. doi: 10.1016/j.envint.2018.05.047.
(8) Benzisothiazolinone as a useful template for the design of new monoacylglycerol lipase inhibitors: investigation of the target residues and comparison with octhilinone. Matuszak N, Es Saadi B, Labar G, Marchand-Brynaert J, Lambert DM. Bioorg Med Chem Lett. 2011 Dec 15;21(24):7321-4. doi: 10.1016/j.bmcl.2011.10.026.
(9) Broad spectrum anti-infective properties of benzisothiazolones and the parallels in their anti-bacterial and anti-fungal effects. Gopinath P, Yadav RK, Shukla PK, Srivastava K, Puri SK, Muraleedharan KM. Bioorg Med Chem Lett. 2017 Mar 1;27(5):1291-1295. doi: 10.1016/j.bmcl.2017.01.027.
| Sign up to vote this object, vote his reviews and to contribute to Tiiips.EvaluateClose | (0 comments) |
Read other Tiiips about this object in __Italiano (1)
Component type:   Chemical Main substances:  
Last update:   2026-01-07 19:37:05 | Chemical Risk:   |

