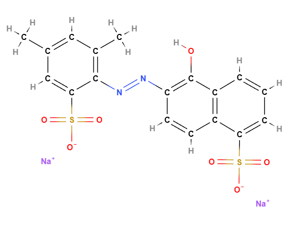
CI 14815 è un composto chimico, un colorante sintetico azoico rosso conosciuto anche come Food Red 2
Nome chimico: disodium;6-[(2,4-dimethyl-6-sulfonatophenyl)diazenyl]-5-hydroxynaphthalene-1-sulfonate
A cosa serve e dove si usa
Cosmetica
Ingrediente cosmetico soggetto a restrizioni IV/20 come Voce pertinente negli allegati del regolamento europeo sui cosmetici n. 1223/2009. Sostanza o ingrediente segnalato: Disodium 6-[(2,4-dimethyl-6-sulphonatophenyl)azo]-5-hydroxynaphthalene-1-sulphonate
Colorante. Questo ingrediente ha la funzione primaria di colorare la soluzione in cui è inserito in modo temporaneo, semi-permanente o permanente, sia da solo che in presenza dei componenti complementari aggiunti per la colorazione.
Sicurezza
Il problema legato ai coloranti azoici (monoazo o diazo) è la degradazione fotocatalitica che porta ad un'eventuale ossidazione ed alla successiva formazione di impurità come le ammine aromatiche alcune delle quali svolgono attività cancerogena (1).
- Formula molecolare C18H14N2Na2O7S2
- Peso molecolare 480.4 g/mol
- CAS 3257-28-1
- UNII 92NT7608O0
- DTXSID9062938
- EC Number 221-856-3
Synonyms:
- Scarlet GN
- Food Red 2
- Food Red No.2
- Salmon Red Geigy
- Cilefa Red G
Trade name:
Bibliografia________________________________________________________________________
(1) Chung KT, Stevens SE Jr, Cerniglia CE. The reduction of azo dyes by the intestinal microflora. Crit Rev Microbiol. 1992;18(3):175-90. doi: 10.3109/10408419209114557.
Abstract. Azo dyes are widely used in the textile, printing, paper manufacturing, pharmaceutical, and food industries and also in research laboratories. When these compounds either inadvertently or by design enter the body through ingestion, they are metabolized to aromatic amines by intestinal microorganisms. Reductive enzymes in the liver can also catalyze the reductive cleavage of the azo linkage to produce aromatic amines. However, evidence indicates that the intestinal microbial azoreductase may be more important than the liver enzymes in azo reduction. In this article, we examine the significance of the capacity of intestinal bacteria to reduce azo dyes and the conditions of azo reduction. Many azo dyes, such as Acid Yellow, Amaranth, Azodisalicylate, Chicago Sky Blue, Congo Red, Direct Black 38, Direct Blue 6, Direct Blue 15, Direct Brown 95, Fast Yellow, Lithol Red, Methyl Orange, Methyl Red, Methyl Yellow, Naphthalene Fast Orange 2G, Neoprontosil, New Coccine, Orange II, Phenylazo-2-naphthol, Ponceau 3R, Ponceau SX, Red 2G, Red 10B, Salicylazosulphapyridine, Sunset Yellow, Tartrazine, and Trypan Blue, are included in this article. A wide variety of anaerobic bacteria isolated from caecal or fecal contents from experimental animals and humans have the ability to cleave the azo linkage(s) to produce aromatic amines. Azoreductase(s) catalyze these reactions and have been found to be oxygen sensitive and to require flavins for optimal activity. The azoreductase activity in a variety of intestinal preparations was affected by various dietary factors such as cellulose, proteins, fibers, antibiotics, or supplementation with live cultures of lactobacilli.