| "Descrizione" by Al222 (24881 pt) | 2024-Jan-09 18:44 |
Myristoyl Sarcosine is a chemical compound primarily used as a surfactant and conditioning agent in hair and skin care products.
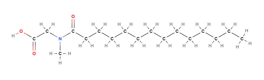
The name describes the structure of the molecule:
Raw Materials Used in the Production of Myristoyl Sarcosine and Their Functions
Origin. Derived from fatty acids of coconut or palm kernel oil.
Functions of Raw Materials:
Coconut/Palm Kernel Fatty Acids provide the essential lipid base needed for surfactant formation.
Sarcosine. A derivative of a natural amino acid, it contributes to the product's foam-building capacity and mildness.
Industrial Production Process
Extraction. The fatty acids are extracted from coconut or palm kernel oil.
Reaction. These fatty acids are then reacted with sarcosine to produce Myristoyl Sarcosine.
Purification. The resulting product is purified to eliminate any impurities and to enhance its quality.
Quality Control. Myristoyl Sarcosine undergoes rigorous quality testing to ensure its purity, effectiveness, and safety.
Form and Color
Myristoyl Sarcosine typically appears as a clear to slightly yellowish, viscous liquid.

What it is for and where
Myristoyl Sarcosine is used in personal care products such as shampoos, conditioners, and facial cleansers. It is valued for its mild cleansing properties, ability to produce a rich and creamy foam, and for imparting a smooth and soft feel to skin and hair.
Cosmetics - INCI Functions
Antistatic agent. Static electricity build-up has a direct influence on products and causes electrostatic adsorption. The antistatic ingredient reduces static build-up and surface resistivity on the surface of the skin and hair.
Cleansing agent. Ingredient that cleanses skin without exploiting the surface-active properties that produce a lowering of the surface tension of the stratum corneum.
Hair conditioning agent. A significant number of ingredients with specific and targeted purposes may co-exist in hair shampoo formulations: cleansers, conditioners, thickeners, matting agents, sequestering agents, fragrances, preservatives, special additives. However, the indispensable ingredients are the cleansers and conditioners as they are necessary and sufficient for hair cleansing and manageability. The others act as commercial and non-essential auxiliaries such as: appearance, fragrance, colouring, etc. Hair conditioning agents have the task of increasing shine, manageability and volume, and reducing static electricity, especially after treatments such as colouring, ironing, waving, drying and brushing. They are, in practice, dispersants that may contain cationic surfactants, thickeners, emollients, polymers. The typology of hair conditioning agents includes: intensive conditioners, instant conditioners, thickening conditioners, drying conditioners. They can perform their task generally accompanied by other different ingredients.
Surfactant - Cleansing agent. Cosmetic products used to cleanse the skin utilise the surface-active action that produces a lowering of the surface tension of the stratum corneum, facilitating the removal of dirt and impurities.
Safety
In general, according to a 2001 study, sarcosinates are not irritants and do not sensitize animal or human skin, although they may enhance the penetration of other ingredients through the skin. Therefore, care should be taken when formulating cosmetic products that contain these ingredients in combination with other ingredients. Available data are insufficient to support the safety of acylsarcosines and sarcosinates as cosmetic ingredients in products where they are likely to be inhaled (1).
A more updated study from 2021 finds that these ingredients are safe as used in cosmetics when formulated to be non-irritant, but they should not be used in cosmetic products in which N-nitrous compounds may be formed (2).
![]() | ![]() |
Molecular Formula C17H33NO3
Molecular Weight 299.4 g/mol
CAS 52558-73-3
UNII ZL6OI6P595
EC Number 258-007-1
DTXSID7068766
Bibliografia_________________________________________________________________________
(1) Lanigan RS. Final report on the safety assessment of Cocoyl Sarcosine, Lauroyl Sarcosine, Myristoyl Sarcosine, Oleoyl Sarcosine, Stearoyl Sarcosine, Sodium Cocoyl Sarcosinate, Sodium Lauroyl Sarcosinate, Sodium Myristoyl Sarcosinate, Ammonium Cocoyl Sarcosinate, and Ammonium Lauroyl Sarcosinate. Int J Toxicol. 2001;20 Suppl 1:1-14. PMID: 11358107.
Abstract. This safety assessment addresses cosmetic ingredients that are N-acyl derivatives of sarcosine and are generally referred to as acyl sarcosines, and those that are salts, known generally as acyl sarcosinates. Previous assessments have addressed the safety of each of the fatty acids that appear in these acyl sarcosines and sarcosinates (Coconut Acid, Oleic Acid, Lauric Acid, and Myristic Acid). In each case the fatty acid was either safe for use or safe as used in cosmetic formulations. Acyl sarcosines are considered modified fatty acids with greater solubility and increased acidity of the carboxylic acid group compared to the parent fatty acid. They are used in a large number of cosmetic formulations as hair-conditioning agents and surfactant-cleansing agents. In soaps, concentrations are reported to be as high as 12.9%. These ingredients have low oral toxicity in rats. Although cytotoxic to Chinese hamster cells in culture, acyl sarcosines and sarcosinates are not mutagenic in those cells, nor in bacterial cells in culture. Carcinogenicity data were not available. These ingredients are nonirritating and nonsensitizing to animal and human skin, although they can enhance the penetration of other ingredients through the skin. For that reason, caution should be exhibited in formulating cosmetic products that contain these ingredients in combination with other ingredients whose safety is based on their lack of absorption or where dermal absorption is a concern (e.g., HC Yellow No. 4, Disperse Yellow 3). Because sarcosine can be nitrosated to form N-nitrososarcosine, a known animal carcinogen, these ingredients should not be used in cosmetic products in which N-nitroso compounds may be formed. With the above caveat, and based on the available data, it was concluded that these acyl sarcosines and sarcosinates are safe as used in rinse-off products. They may be safely used in leave-on products at concentrations up to 5%, the highest concentration tested in clinical irritation and sensitization studies. Oleoyl Sarcosine is used as a corrosion inhibitor in some aerosol products, at extremely low concentrations. In this circumstance, the ingredient is not being used as a cosmetic ingredient and this report is not intended to limit that use. Because of the absence of data on inhalation toxicity, however, it was concluded that the available data were not sufficient to support the safety of acyl sarcosines and sarcosinates as cosmetic ingredients in products where they are likely to be inhaled.
(2) Fiume, M. M., Bergfeld, W. F., Belsito, D. V., Hill, R. A., Klaassen, C. D., Liebler, D. C., ... & Heldreth, B. (2021). Amended Safety Assessment of Fatty Acyl Sarcosines and Sarcosinate Salts as Used in Cosmetics. International journal of toxicology, 40(2_suppl), 117S-133S.
Abstract. The Expert Panel for Cosmetic Ingredient Safety (Panel) assessed the safety of 5 acyl sarcosines and 9 sarcosinate salts as used in cosmetics; all of these ingredients are reported to function in cosmetics as hair conditioning agents and most also can function as surfactants—cleansing agents. The ingredients reviewed in this assessment are composed of an amide comprising a fatty acyl residue and sarcosine and are either free acids or simple salts thereof. The Panel relied on relevant new data, including concentration of use, and considered data from the previous Panel report, such as the reaction of sarcosine with oxidizing materials possibly resulting in nitrosation and the formation of N-nitrososarcosine. The Panel concluded that these ingredients are safe as used in cosmetics when formulated to be non-irritating, but these ingredients should not be used in cosmetic products in which N-nitroso compounds may be formed.
| Evaluate |